Միանդամ տառերի և թվերի արտադրյալը:
Բնական ցուցիչով աստիճան:
An.am=an+m
(an)m=an.m
An —-=an-m
am
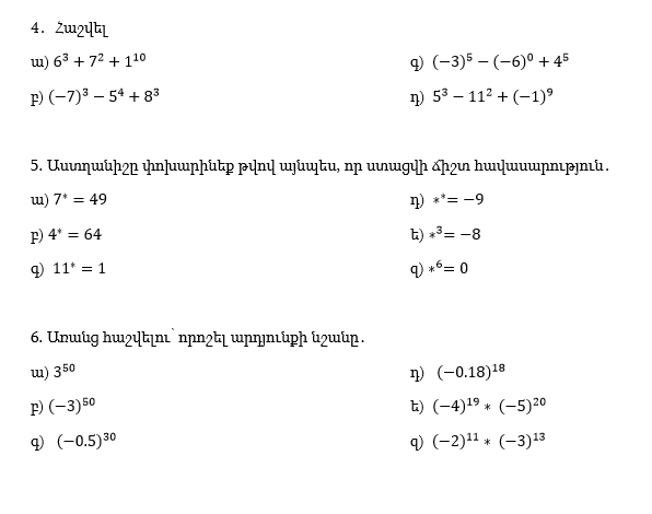
5.01
0,4.0,4.0,4.0,4=0,44
(-a). (-a). (-a). (-a). (-a).=-a5
A2 — =5 (a2)4 — —— 54 54
5.03
25=32
(-10)3=-1000
(-8)3+(-3)=-512-27=539
5.04
(3/4)= 27/64
-3 1/34= 10000/81

a)266
b)-456
g)24549
d)3
5.7⁷
4⁴
11¹
-3³
0⁶
Оставьте комментарий